Все без исключения электрические двигатели имеют одинаковые технические параметры, которые позволяют определить мощность всей системы. Рассмотрим далее последовательно эти параметры.
Вращательный момент
Эта характеристика отражает ту силу, которая заставляет вращаться некую деталь. Чем эта сила больше, тем вращательный момент выше.
Рассчитывается момент по простой формуле: мощность, деленная на количество оборотов. Момент выражается в ньютонах на метр. Чтобы понять суть вращательного момента, достаточно привести простой пример: из двух автомобилей быстрее тронется с места тот, у которого выше вращательный момент мотора.

Согласно действующим стандартам, имеется унифицированное обозначение момента: крутящий момент. Именно этот термин применяется в технической документации.
Момент является векторной величиной, которая равна произведению вектора силы на вектор радиуса. Если рассматривать его с точки зрения физических принципов, то различие между крутящим и вращательным моментами заключается в том, куда направлена сила. Для крутящего момента это внутреннее усилие, для вращательного – внешнее. Единица измерения (Н\м) при этом одинакова.
Момент двигателя рассчитывается так:

Чтобы вычислить номинальный момент, применяется формула:

Следовательно, формула определения мощности электромотора выглядит так:

В большинстве случаев информация, имеющаяся в открытых источниках, приводит номинальные значения характеристик. Поэтому реальные значения для конкретного мотора следует определять самостоятельно.
Мощность двигателя
Это физическая величина, выражающая работу двигателя в единицу времени, то есть то, какой объем тепловой энергии двигатель перевел в кинетическую. Ее обозначение в формулах – Р или W. Единица измерения – Ватт (Вт). Общая формула для расчета мощности электрического мотора:

Еще одна величина, используемая в формулах, – механическая работа. Она отражает воздействие силы на объект и зависит от перемещения этого объекта и направления перемещения. Механическая работа рассчитывается как вектор силы, умноженный на путь:

Работа отражает тот путь, который проходит точка приложения силы. В случае вращательного перемещения формула расчета такова:

Следовательно, угловая частота вращения вычисляется так:

А отсюда вытекает способ расчета мощности мотора:

КПД
Этот параметр отражает производительность электромотора и его эффективность и может быть использован, чтобы сравнить эффективность различных моторов, имеющих схожие характеристики и источники питания.
В общем смысле, КПД представляет собой отношение полезной работы, совершенной двигателем, к общей затраченной работе. Вычисление КПД базируется на основной формуле расчета мощности мотора и выглядит так:

Либо следующим образом::

Как правило, КПД рассчитывается именно по формуле мощности мотора, поскольку ее достаточно просто измерить
Механическая работа – еще один параметр, который отражает степень воздействия силы на некий объект. Работа напрямую зависит от перемещения объекта и направления вектора силы.
Уменьшение КПД и, следовательно, снижение эффективности работы мотора может происходить вследствие разных причин. Перечислим наиболее распространенные из них:
- электрические потери – нагревание проводников, по которым проходит ток,
- Магнитных потерь. Вследствие излишнего намагничивания сердечника появляется гистерезис и вихревые токи, что важно учитывать в формуле мощности электродвигателя.
- магнитные потери – сердечник намагничивается слишком сильно, образуются вихревые токи,
- механические потери вследствие трения деталей мотора друг о друга и о воздух,
- дополнительные факторы – потери иного типа могут возникать вследствие образования гармоник магнитного поля. Кроме того, в обмотках имеются высшие гармоники.
КПД мотора имеет определяющее значение для вычисления реальной мощности.
Обороты
Если речь идет о моторах переменного тока, то значимым параметром становится частота вращения (обороты вала за минуту). При этом это число различно для двигателя, работающего под нагрузкой, и при холостом ходе.
Для вычисления количества оборотов применяется формула:

Мощность также можно вычислить, имея под рукой расчеты оборотов. Однако в этом случае формула должна быть приведена к формуле вычисления угловой скорости и будет выглядеть так

Иннерционный момент
Инерционный момент представляет собой меру инертности некого тела, вращающегося вокруг неподвижного объекта. Момент является постоянной величиной, вычисляемой для любого конкретного мотора. В формулах она измеряется в килограммах на квадратный метр (кг*м2). Расчет ведется по формуле:

ММоменты силы и инерции имеют взаимосвязь, которая отражается формулой:

Угловое ускорение вычисляется так:

Следовательно, если масса и радиус ротора известны, может быть рассчитана и производительность мотора.
Номинальное напряжение
Номинальное (расчетное) напряжение – одно из тех напряжений, которые определяют степень изоляции сети и оборудования. Эти напряжения различны в разных местах системы, однако их величина никогда не превышают максимальных значений, которые гарантируют длительную эксплуатацию мотора.
В большинстве случаев под расчетным напряжением понимается та стандартная величина, которая определена разработчиком системы при условии нормального рабочего режима. Стандартный вольтаж для разных систем установлен ГОСТ. Кроме того, эти параметры обязательно прописываются в техпаспорте изделия.:
Чтобы рассчитать производительность мотора, применяется такая формула::

Электрическая постоянная времени
Данная величина отражает то время, которое должно быть затрачено, чтобы ток стал равным 63% (с момента подачи напряжения). Постоянная времени вычисляется по формуле:

Важно, однако, иметь в виду, что электромеханическая постоянная всегда превышает электромагнитную. Она может быть выражена через уравнение динамических характеристик мотора, при этом ротор должен разгоняться на холостом ходу до максимума. И формула расчета становится такой:

А отсюда логично вытекает следующая:

Электромеханическая постоянная определяется по пусковому моменту. Если предположить, что двигатель находится в идеальных условиях, а все характеристики – прямолинейны, то формула будет выглядеть так:

Данные формулы могут быть применены для вычисления точной мощности мотора насоса, в случаях, если ход поршня прямо зависит от вращения вала.
Базовые расчеты мощности
Чтобы рассчитать ключевые характеристики моторов, необходимо принимать во внимание ряд параметров. В первую очередь, необходимо понимать, постоянный или переменный ток используется для питания оборудования. От этого зависит способ расчета.
Приведем далее упрощенную формулу мощности:

Формула для асинхронного двигателя будет такой:

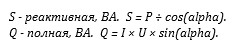
Помимо активной мощности, имеются реактивная и полная:

При проведении вычислений также следует принимать во внимание индукционные потери и теплопотери, учитывать трение. В связи с этим общая формула для моторов постоянного тока такова:



